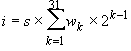
In general, the model set for integers is defined as follows:

The following values apply to this model set:
The model for INTEGER(4) is as follows:

The following example demonstrates the general integer model for i = -20 using a base (r) of 2:
i = (-1) x (0 x 20 + 0 x 21 + 1 x 22 + 0 x 23 + 1 x 24)
i = (-1) x (4 + 16)
i = -1 x 20
i = -20